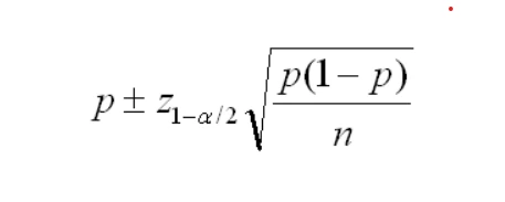
Hi All, I wanted to provide an update on this. After speaking with some adobe consultants, I was able to determine that the error threshold in the audience estimator is calculated using a binomial confidence interval calculation (see formula below). Essentially, this formula calculates (at a 95% confidence level) the margin of error of your estimator. P represents the proportion of interest which is the ratio of how many profiles in your sample population qualified for your audience/your total sample population. Z is 1.96 which is the Z score for confidence intervals at a 95% confidence level. N is your actual entire profile size. That is how you calculate the audience estimator error threshold

Thanks,
Nick